您好,欢迎来到淄博沃森测控科技有限公司!
技术分享
jishufenxiang

联系我们

CONTACT US

咨询热线:0533-3571086
微信咨询:13953341631
QQ咨询:2742148107
公司地址:淄博市高新区政通路135号

当前所在位置:首页 >> 技术分享
设计计算实例(一)-1
发布时间:2024-10-19 08:34:52| 浏览次数:

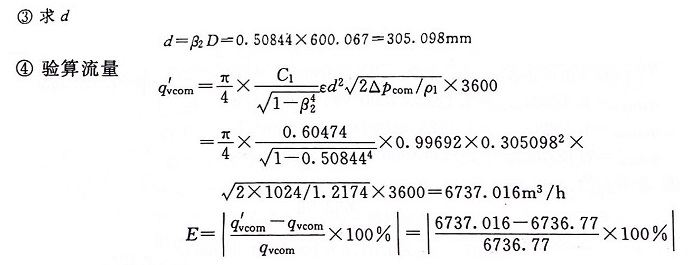
一、测量煤气流量用孔板设计计算实例(节流件为标准孔板)

2.jpg

3.jpg

4.jpg

5.jpg

6 - 副本.jpg

6.jpg

7.jpg

 
附件下载
 上一篇:多相流体流量测量方法(一)-2
 下一篇:设计计算实例(一)-2

版权所有   淄博沃森测控科技有限公司   技术支持   创世网络  工信部备案号:鲁ICP备16040553号-1,公安部网站备案号:37039002000339